External Source

Introduction To Inverse Z Transform Power Series Expansion Method With Example | Lec-140

2022 11:49
Synopsis
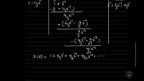
In this video i have explained
power series expansion method z transform with example.
Inverse Z-Transform by Power Series ...
Download Options
Choose a download method below. All links open in new tabs.
Service Features Action
SaveFrom
MP4 & MP3 • HD Quality • Browser Extension Available
Download
Security Notice: These are third-party services. We recommend using antivirus software and being cautious of pop-up ads.