External Source

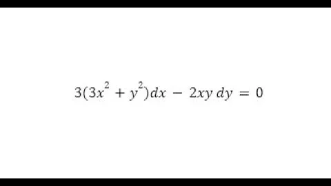
Homogeneous Differential Equations | (x^2 +3y^2)dx-2xydy=0

2021 7:39
Synopsis
Homogeneous Differential Equations If you have any question related to this topic send us by email or in comment section we will ...
Download Options
Choose a download method below. All links open in new tabs.
Service Features Action
SaveFrom
MP4 & MP3 • HD Quality • Browser Extension Available
Download
Security Notice: These are third-party services. We recommend using antivirus software and being cautious of pop-up ads.