External Source

How Is Solving Absolute Value Inequalities Like Balancing A Scale? - Your Algebra Coach

2025 2:40
Synopsis
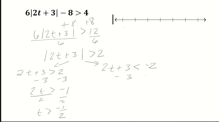
How Is Solving Absolute Value Inequalities Like Balancing A Scale? Are you curious about how to solve absolute value ...
Download Options
Choose a download method below. All links open in new tabs.
Service Features Action
SaveFrom
MP4 & MP3 • HD Quality • Browser Extension Available
Download
Security Notice: These are third-party services. We recommend using antivirus software and being cautious of pop-up ads.