External Source

Problem 2.1a | Introduction To Quantum Mechanics (griffiths)

2020 4:41
Synopsis
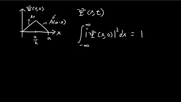
Proving why E must always be a real number.
Download Options
Choose a download method below. All links open in new tabs.
Service Features Action
SaveFrom
MP4 & MP3 • HD Quality • Browser Extension Available
Download
Security Notice: These are third-party services. We recommend using antivirus software and being cautious of pop-up ads.