External Source

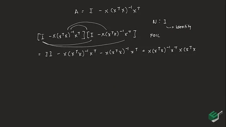
9.3) Projection Matrix: Idempotent And Symmetric

2020 3:20
Synopsis
6.1) Book Review: Mostly Harmless Econometrics https://youtu.be/iVCnm7okbD4 6.2) Mostly Harmless Econometrics: The ...
Download Options
Choose a download method below. All links open in new tabs.
Service Features Action
SaveFrom
MP4 & MP3 • HD Quality • Browser Extension Available
Download
Security Notice: These are third-party services. We recommend using antivirus software and being cautious of pop-up ads.