External Source

Express Square Roots Of Negative Numbers Using ๐‘— ( I ) 06

2021 1:33
Synopsis
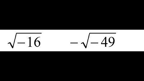
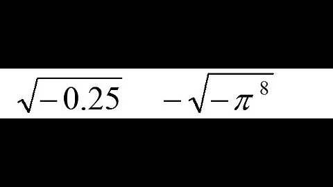
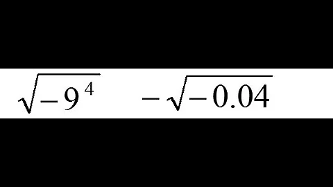
Learn how to simplify square roots of negative numbers by expressing them in terms of the imaginary unit j, where j = squareย ...
Download Options
Choose a download method below. All links open in new tabs.
Service Features Action
SaveFrom
MP4 & MP3 โ€ข HD Quality โ€ข Browser Extension Available
Download
Security Notice: These are third-party services. We recommend using antivirus software and being cautious of pop-up ads.