External Source

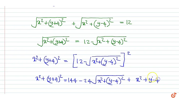
Given The Points `a(0, 4)` And `b(0, 4)`. Then The Equation Of The Locus Of The Point `p(x,...

2018 3:03
Synopsis
To ask Unlimited Maths doubts download Doubtnut from - https://goo.gl/9WZjCW Given the points `A(0, 4)` and `B(0, 4)`. Then the ...
Download Options
Choose a download method below. All links open in new tabs.
Service Features Action
SaveFrom
MP4 & MP3 • HD Quality • Browser Extension Available
Download
Security Notice: These are third-party services. We recommend using antivirus software and being cautious of pop-up ads.