External Source

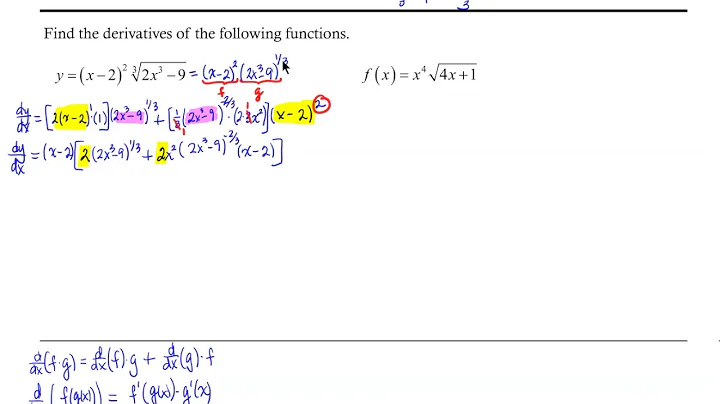
Chain Rule With Radicals, How To Take The Derivative

2017 1:36
Synopsis
Learn how to find the derivative of a function using the chain rule. The derivative of a function, y = f(x), is the measure of the rate of ...
Download Options
Choose a download method below. All links open in new tabs.
Service Features Action
SaveFrom
MP4 & MP3 • HD Quality • Browser Extension Available
Download
Security Notice: These are third-party services. We recommend using antivirus software and being cautious of pop-up ads.