External Source

12.6: Nonhomogeneous Boundary Value Problems, Day 2

2019 38:59
Synopsis
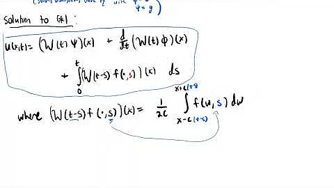
Time dependent BVP's (heat & wave)
Download Options
Choose a download method below. All links open in new tabs.
Service Features Action
SaveFrom
MP4 & MP3 • HD Quality • Browser Extension Available
Download
Security Notice: These are third-party services. We recommend using antivirus software and being cautious of pop-up ads.