External Source

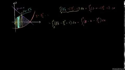
Area Between Curves With Multiple Boundaries

2013 6:54
Synopsis
Courses on Khan Academy are always 100% free. Start practicing—and saving your progress—now: ...
Download Options
Choose a download method below. All links open in new tabs.
Service Features Action
SaveFrom
MP4 & MP3 • HD Quality • Browser Extension Available
Download
Security Notice: These are third-party services. We recommend using antivirus software and being cautious of pop-up ads.