External Source

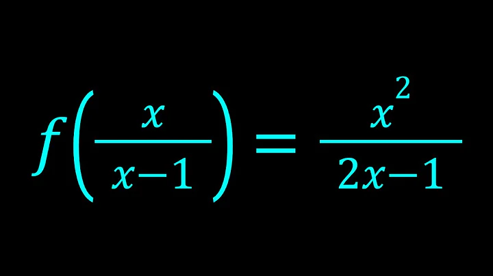
A Fun Homemade Functional Equation

2025 9:13
Synopsis
Hello everyone, I'm very excited to bring you a new channel (aplusbi) Enjoy...and thank you for your support!
Download Options
Choose a download method below. All links open in new tabs.
Service Features Action
SaveFrom
MP4 & MP3 • HD Quality • Browser Extension Available
Download
Security Notice: These are third-party services. We recommend using antivirus software and being cautious of pop-up ads.