External Source

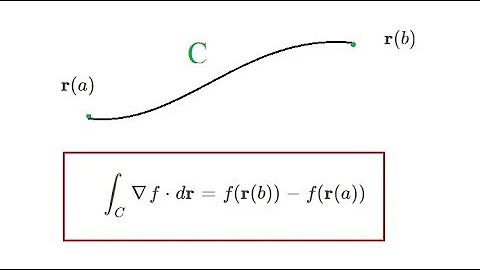
The Fundamental Theorem For Line Integrals

2020 9:41
Synopsis
Welcome to my video series on Vector Calculus. You can access the full playlist here: ...
Download Options
Choose a download method below. All links open in new tabs.
Service Features Action
SaveFrom
MP4 & MP3 • HD Quality • Browser Extension Available
Download
Security Notice: These are third-party services. We recommend using antivirus software and being cautious of pop-up ads.