External Source

Quadratic Formula Song 🎵

2020 0:16
Synopsis
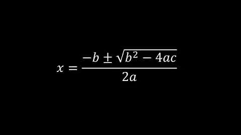
Memorize the quadratic formula to the tune of Pop Goes the Weasel.
Download Options
Choose a download method below. All links open in new tabs.
Service Features Action
SaveFrom
MP4 & MP3 • HD Quality • Browser Extension Available
Download
Security Notice: These are third-party services. We recommend using antivirus software and being cautious of pop-up ads.