External Source

Writing An Exponential Equation Given 2 Points.

2016 3:24
Synopsis
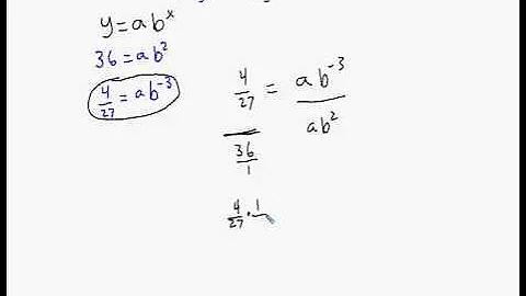
In this video we talk about how to write an exponential equation given 2 points on that graph. Students will set up a system of 2 ...
Download Options
Choose a download method below. All links open in new tabs.
Service Features Action
SaveFrom
MP4 & MP3 • HD Quality • Browser Extension Available
Download
Security Notice: These are third-party services. We recommend using antivirus software and being cautious of pop-up ads.