External Source

Simulink Example - Mass-spring-damper System

2018 10:02
Synopsis
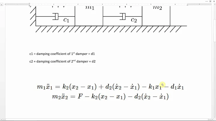
This video shows step-by-step instructions for modeling a simple mass-spring-damper system in Simulink. This is done for ME ...
Download Options
Choose a download method below. All links open in new tabs.
Service Features Action
SaveFrom
MP4 & MP3 • HD Quality • Browser Extension Available
Download
Security Notice: These are third-party services. We recommend using antivirus software and being cautious of pop-up ads.