External Source

8.3 The Fundamental Theorem Of Calculus -- Part 1

2018 6:53
Synopsis
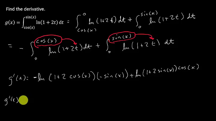
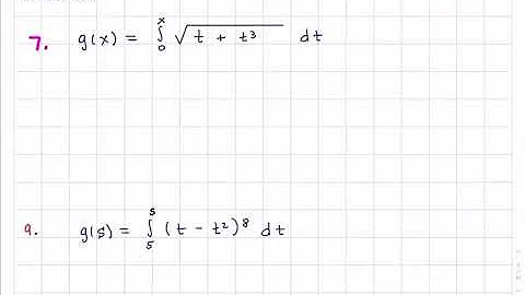
This video in context: * Antiderivatives: https://youtu.be/xcyL3sEL2mM * Functions defined as integrals: ...
Download Options
Choose a download method below. All links open in new tabs.
Service Features Action
SaveFrom
MP4 & MP3 • HD Quality • Browser Extension Available
Download
Security Notice: These are third-party services. We recommend using antivirus software and being cautious of pop-up ads.