External Source

Partitions. Lecture 4

2021 1:40:59
Synopsis
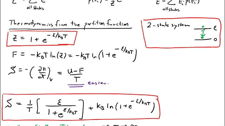
Partitions in Mathematics and Physics This course introduces the students to modern approach and application of integer and ...
Download Options
Choose a download method below. All links open in new tabs.
Service Features Action
SaveFrom
MP4 & MP3 • HD Quality • Browser Extension Available
Download
Security Notice: These are third-party services. We recommend using antivirus software and being cautious of pop-up ads.