External Source

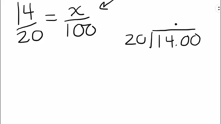
Fractions: Simplify 14/20

2021 0:33
Synopsis
Megan from SVSU Micro Math helps you simplify a fraction. This is also called “reducing” a fraction to “lowest terms”. Problem: ...
Download Options
Choose a download method below. All links open in new tabs.
Service Features Action
SaveFrom
MP4 & MP3 • HD Quality • Browser Extension Available
Download
Security Notice: These are third-party services. We recommend using antivirus software and being cautious of pop-up ads.