External Source

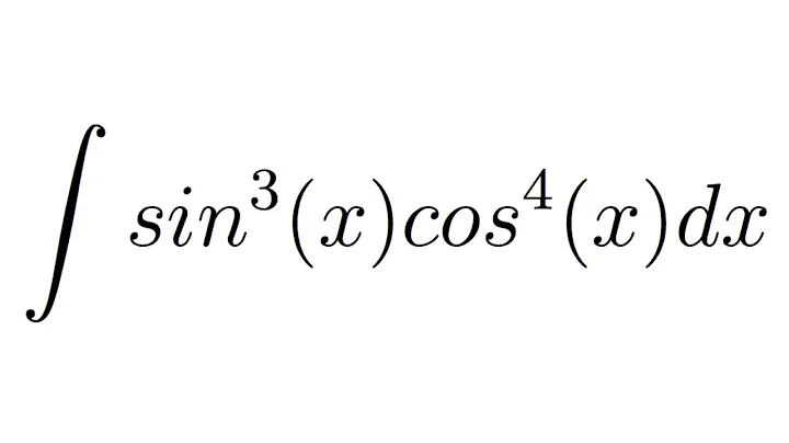
Integral Sin^3(x) Cos^4(x) Dx = Answer Using U-sub On Cos(x) // Trigonometric Integral #shorts

2021 0:58
Synopsis
integral sin^4(x) cos^3(x) dx = answer using u-sub on sin(x) // trigonometric integral #Shorts ...
Download Options
Choose a download method below. All links open in new tabs.
Service Features Action
SaveFrom
MP4 & MP3 • HD Quality • Browser Extension Available
Download
Security Notice: These are third-party services. We recommend using antivirus software and being cautious of pop-up ads.