External Source

Find Y Value In Exponential Expression #maths #basicproblems #mathproblem

2025 0:53
Synopsis
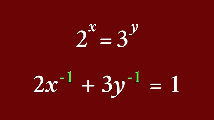
Welcome to another exciting Math Short! In this video, you'll learn how to calculate the value of Y in an exponential equation—a ...
Download Options
Choose a download method below. All links open in new tabs.
Service Features Action
SaveFrom
MP4 & MP3 • HD Quality • Browser Extension Available
Download
Security Notice: These are third-party services. We recommend using antivirus software and being cautious of pop-up ads.