External Source

❖ Trigonometric Substitution - Example 2 ❖

2008 7:22
Synopsis
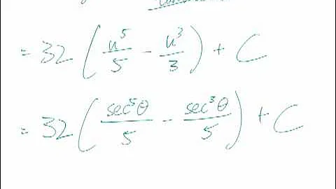
Trigonometric Substitution in Calculus: A Step-by-Step Example In this video, I explore a basic example of trigonometric ...
Download Options
Choose a download method below. All links open in new tabs.
Service Features Action
SaveFrom
MP4 & MP3 • HD Quality • Browser Extension Available
Download
Security Notice: These are third-party services. We recommend using antivirus software and being cautious of pop-up ads.