External Source

Runge Kutta Method Second Order Differential Equation Simple Example(part-1)

2018 14:12
Synopsis
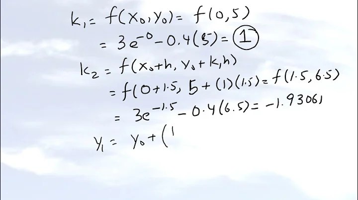
In this video explaining second order differential equation Runge kutta method. This method is very simple and easy steps.
Download Options
Choose a download method below. All links open in new tabs.
Service Features Action
SaveFrom
MP4 & MP3 • HD Quality • Browser Extension Available
Download
Security Notice: These are third-party services. We recommend using antivirus software and being cautious of pop-up ads.