External Source

Hardest Olympiad Math Radical Simplification Problem L Easy & Tricky Solution

2025 15:01
Synopsis
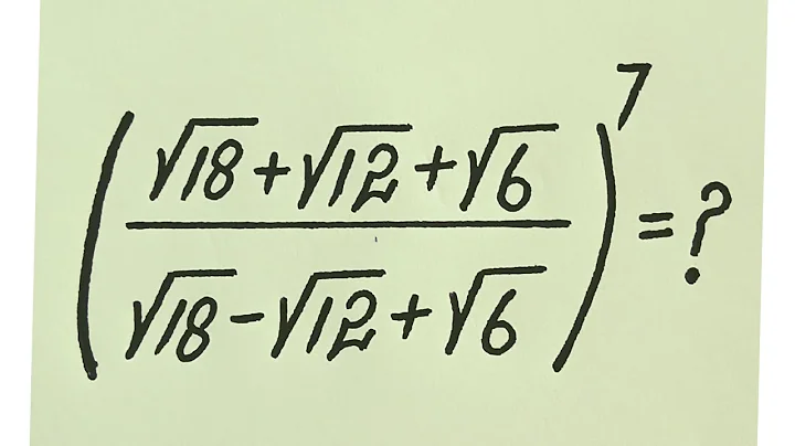
Hello my Wonderful family Trust you're doing fine If you like this video on how to solve this nice Math Problem, like and ...
Download Options
Choose a download method below. All links open in new tabs.
Service Features Action
SaveFrom
MP4 & MP3 • HD Quality • Browser Extension Available
Download
Security Notice: These are third-party services. We recommend using antivirus software and being cautious of pop-up ads.