External Source

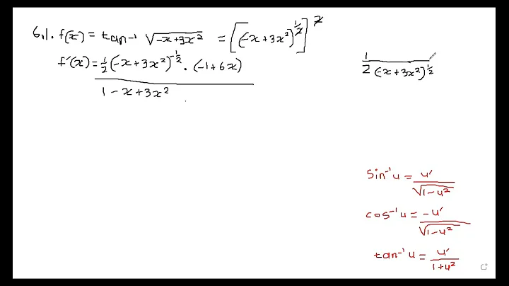
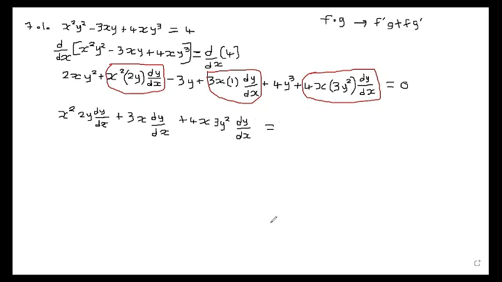
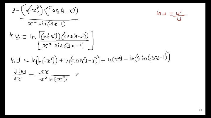
Mat1501 Question 6.1 And 6.2

2021 11:09
Synopsis
FOR SUPPORTS mntwanawabantu@gmail.com MORE VIDEOS AND UPDATES: Follow me on Twitter ...
Download Options
Choose a download method below. All links open in new tabs.
Service Features Action
SaveFrom
MP4 & MP3 • HD Quality • Browser Extension Available
Download
Security Notice: These are third-party services. We recommend using antivirus software and being cautious of pop-up ads.