External Source

Rational Exponents And Radicals

2017 6:00
Synopsis
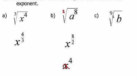
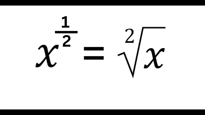
Rational Exponents and Radicals. Mr. Causey explains rational exponents or fractional exponents and how rational exponents ...
Download Options
Choose a download method below. All links open in new tabs.
Service Features Action
SaveFrom
MP4 & MP3 • HD Quality • Browser Extension Available
Download
Security Notice: These are third-party services. We recommend using antivirus software and being cautious of pop-up ads.