External Source

Convert Square Feet To Square Meters | Ft^2 To M^2 | Eat Pi

2022 3:32
Synopsis
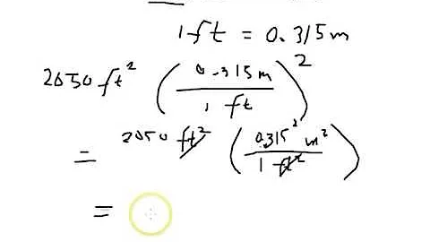
In this video, I teach you how to perform an area unit conversion from ft^2 to m^2 (squared feet to squared meters) by using ...
Download Options
Choose a download method below. All links open in new tabs.
Service Features Action
SaveFrom
MP4 & MP3 • HD Quality • Browser Extension Available
Download
Security Notice: These are third-party services. We recommend using antivirus software and being cautious of pop-up ads.