External Source

Least Square Estimators - Variance Of Estimators Using Matrices

2021 7:52
Synopsis
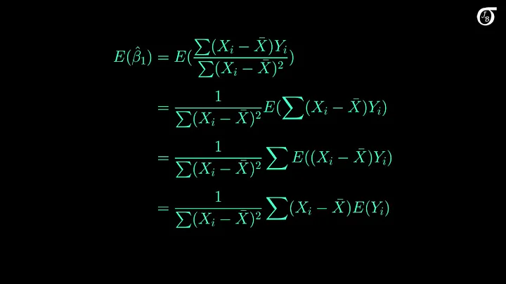
This Stats4Everyone video derives the variance of least squares estimators using matrices. The derivation starts with a linear regression model and properties of variance. Matrix operations are used to simplify the variance calculation and arrive at a final result.
Download Options
Choose a download method below. All links open in new tabs.
Service Features Action
SaveFrom
MP4 & MP3 • HD Quality • Browser Extension Available
Download
Security Notice: These are third-party services. We recommend using antivirus software and being cautious of pop-up ads.