External Source

Math 1a 5.5 Example 1 Using The Substitution Rule - Indefinite Integral

2021 5:14
Synopsis
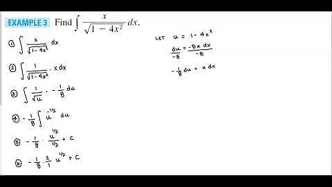
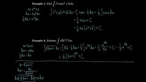
Antiderivative ...
Download Options
Choose a download method below. All links open in new tabs.
Service Features Action
SaveFrom
MP4 & MP3 • HD Quality • Browser Extension Available
Download
Security Notice: These are third-party services. We recommend using antivirus software and being cautious of pop-up ads.