External Source

5.5 Solving Rational Inequalities - Grade 12 Advanced Functions [nelson Textbook]

2025 20:01
Synopsis
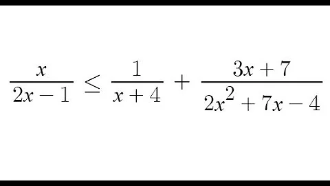
Welcome to Lesson 5.5 of our Grade 12 Advanced Functions series! Topic: Solving Rational Inequalities Make sure to **like**, ...
Download Options
Choose a download method below. All links open in new tabs.
Service Features Action
SaveFrom
MP4 & MP3 • HD Quality • Browser Extension Available
Download
Security Notice: These are third-party services. We recommend using antivirus software and being cautious of pop-up ads.