External Source

Distribute To Simplify An Expression | 7.ee.a.1 💚💙

2023 1:33
Synopsis
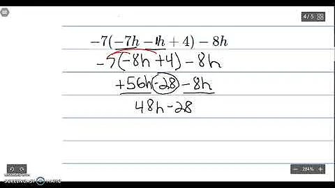
In this short video we will distribute to simplify an expression. We will identify the terms of the expression. We will multiply each ...
Download Options
Choose a download method below. All links open in new tabs.
Service Features Action
SaveFrom
MP4 & MP3 • HD Quality • Browser Extension Available
Download
Security Notice: These are third-party services. We recommend using antivirus software and being cautious of pop-up ads.