External Source

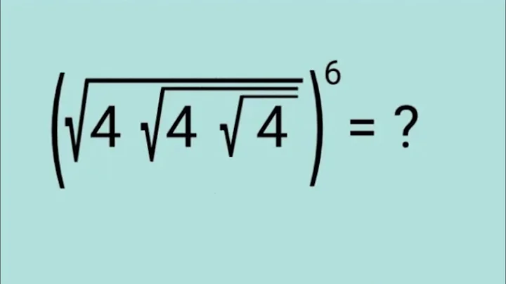
A Wonderful Algebra Problem | Advance Maths For Competitive Exams | Olympiad Maths

2025 8:33
Synopsis
matholympiadproblem​ #matholympiadquestion​ #olympiadmathematicalquestion​ #sahajmathsstudy​Harvard University ...
Download Options
Choose a download method below. All links open in new tabs.
Service Features Action
SaveFrom
MP4 & MP3 • HD Quality • Browser Extension Available
Download
Security Notice: These are third-party services. We recommend using antivirus software and being cautious of pop-up ads.