External Source

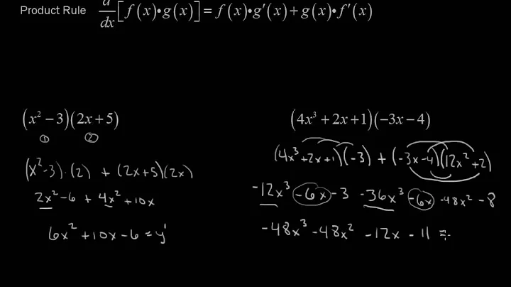
Calculus 1 Lecture 2.3: The Product And Quotient Rules For Derivatives Of Functions

2014 1:02:22
Synopsis
https://www.patreon.com/ProfessorLeonard Calculus 1 Lecture 2.3: The Product and Quotient Rules for Derivatives of Functions.
Download Options
Choose a download method below. All links open in new tabs.
Service Features Action
SaveFrom
MP4 & MP3 • HD Quality • Browser Extension Available
Download
Security Notice: These are third-party services. We recommend using antivirus software and being cautious of pop-up ads.