External Source

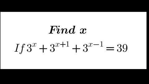
Solving A Nice Radical Exponents Math Problem | Find The Value Of X

2025 3:59
Synopsis
Solving A Nice Radical Exponents Math Problem | Find the value of X nice exponents with radical math simplification problem ...
Download Options
Choose a download method below. All links open in new tabs.
Service Features Action
SaveFrom
MP4 & MP3 • HD Quality • Browser Extension Available
Download
Security Notice: These are third-party services. We recommend using antivirus software and being cautious of pop-up ads.