External Source

The Multi-variable Chain Rule: Derivatives Of Compositions

2019 10:47
Synopsis
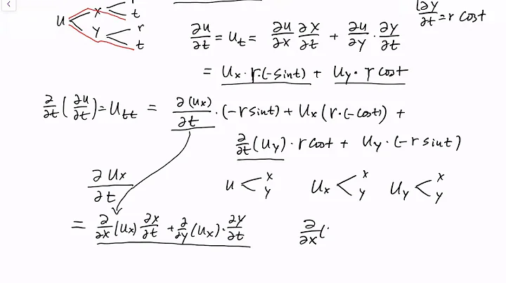
Suppose that f(x,y) depends on two variables but that the x(t) and y(t) are themselves both functions of t. Then f(x(t), y(t)) is a ...
Download Options
Choose a download method below. All links open in new tabs.
Service Features Action
SaveFrom
MP4 & MP3 • HD Quality • Browser Extension Available
Download
Security Notice: These are third-party services. We recommend using antivirus software and being cautious of pop-up ads.