External Source

How To Simplify A Negative Rational Exponent

2013 3:01
Synopsis
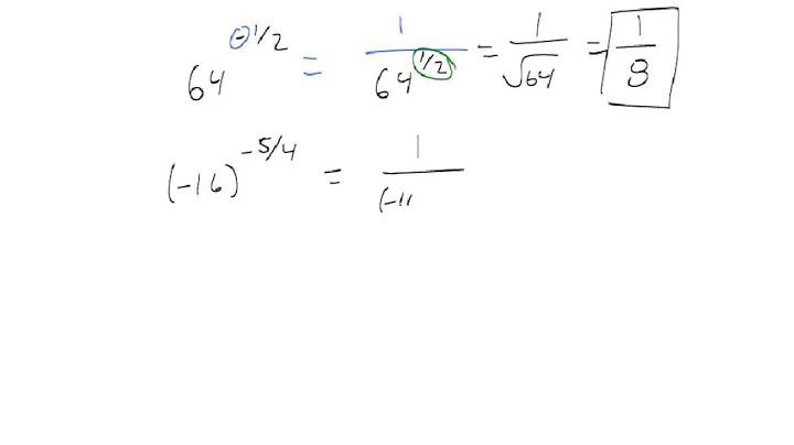
Learn how to convert a rational power to a radical. When the exponent of an expression is a fraction, we can evaluate/simplify the ...
Download Options
Choose a download method below. All links open in new tabs.
Service Features Action
SaveFrom
MP4 & MP3 • HD Quality • Browser Extension Available
Download
Security Notice: These are third-party services. We recommend using antivirus software and being cautious of pop-up ads.