External Source

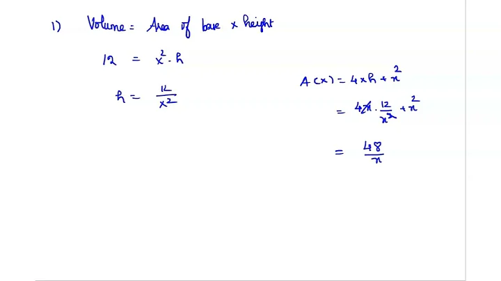
An Open Box With A Square Base Is To Have A Volume Of 108 Cubic Inches. Find The Dimensions Of The

2024 1:55
Synopsis
An open box with a square base is to have a volume of 108 cubic inches. Find the dimensions of the box that will have minimum ...
Download Options
Choose a download method below. All links open in new tabs.
Service Features Action
SaveFrom
MP4 & MP3 • HD Quality • Browser Extension Available
Download
Security Notice: These are third-party services. We recommend using antivirus software and being cautious of pop-up ads.