External Source

L'hospital's Rule For Indeterminate Forms (introduction)

2020 8:53
Synopsis
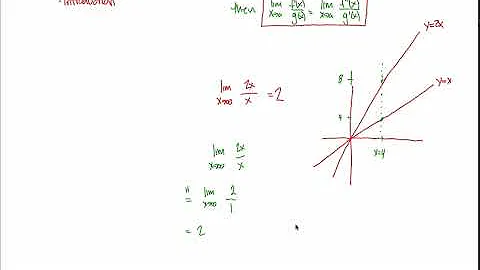
This Calculus 1 video introduces L'Hospital's Rule and show how it can be used to find limits involving the indeterminate forms of ...
Download Options
Choose a download method below. All links open in new tabs.
Service Features Action
SaveFrom
MP4 & MP3 • HD Quality • Browser Extension Available
Download
Security Notice: These are third-party services. We recommend using antivirus software and being cautious of pop-up ads.