External Source

The Fluid Flow Around An Infinite Cylinder | Deep Dive Maths

2021 16:54
Synopsis
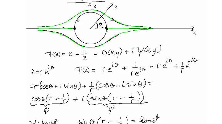
Dive into the fascinating world of fluid dynamics as we explore the Kármán (von Karman) vortex street and its impact on various ...
Download Options
Choose a download method below. All links open in new tabs.
Service Features Action
SaveFrom
MP4 & MP3 • HD Quality • Browser Extension Available
Download
Security Notice: These are third-party services. We recommend using antivirus software and being cautious of pop-up ads.