External Source

Lecture 9: Solving The Inhomogeneous Wave Equation - Examples

2020 55:26
Synopsis
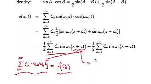
We complete the theory showing that the 1d inhomogeneous wave equation with boundary conditions is uniquely solvable.
Download Options
Choose a download method below. All links open in new tabs.
Service Features Action
SaveFrom
MP4 & MP3 • HD Quality • Browser Extension Available
Download
Security Notice: These are third-party services. We recommend using antivirus software and being cautious of pop-up ads.