External Source

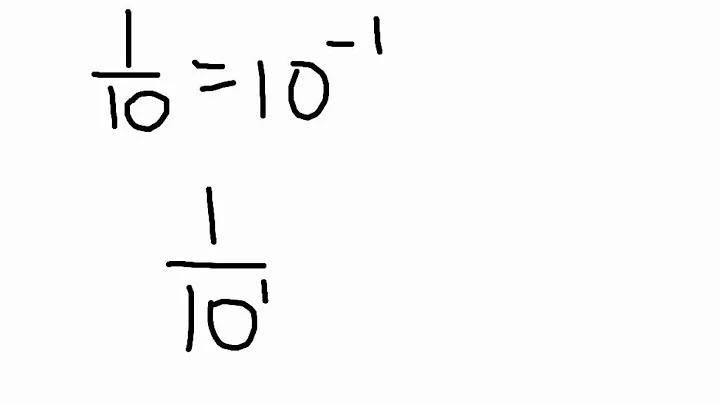
Negative Exponents - Powers Of Ten

2011 2:46
Synopsis
Learn guitar chords for FREE through our new game Chord Master: http://bit.ly/ChordMasterYT Mahalo math expert Allison Moffett ...
Download Options
Choose a download method below. All links open in new tabs.
Service Features Action
SaveFrom
MP4 & MP3 • HD Quality • Browser Extension Available
Download
Security Notice: These are third-party services. We recommend using antivirus software and being cautious of pop-up ads.