External Source

Pc 7.4a (3 Of 5) Solving Trig Equations, Ex. 2.mp4

2012 0:46
Synopsis
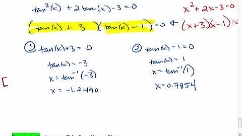
Solving trig equations. Example 2.
Download Options
Choose a download method below. All links open in new tabs.
Service Features Action
SaveFrom
MP4 & MP3 • HD Quality • Browser Extension Available
Download
Security Notice: These are third-party services. We recommend using antivirus software and being cautious of pop-up ads.