External Source

Combinatorics - Partition Theory - Number Of Positive Integer Solutions (intuition)

2020 7:44
Synopsis
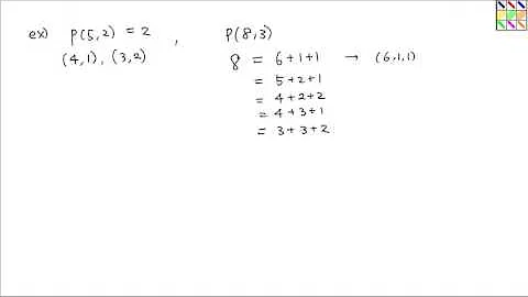
https://www.buymeacoffee.com/furiadhaval Intuition behind why the number of positive integer solutions to a_1 + a_2 + ... + a_r ...
Download Options
Choose a download method below. All links open in new tabs.
Service Features Action
SaveFrom
MP4 & MP3 • HD Quality • Browser Extension Available
Download
Security Notice: These are third-party services. We recommend using antivirus software and being cautious of pop-up ads.