External Source

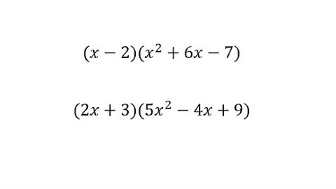
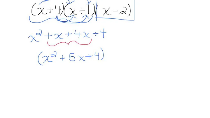
Learn How To Multiply Three Binomials By Distributing

2020 2:47
Synopsis
Learn How to Multiply Three Binomials by Distributing If you enjoyed this video please consider liking, sharing, and subscribing.
Download Options
Choose a download method below. All links open in new tabs.
Service Features Action
SaveFrom
MP4 & MP3 • HD Quality • Browser Extension Available
Download
Security Notice: These are third-party services. We recommend using antivirus software and being cautious of pop-up ads.