External Source

Eigenstates Examples | Quantum Mechanics | Lettherebemath |

2017 10:45
Synopsis
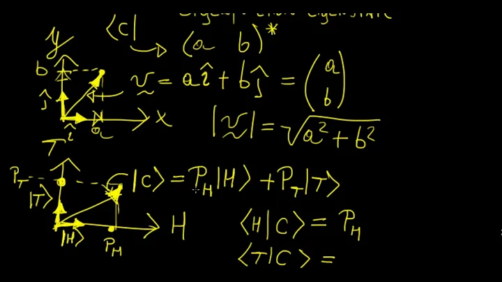
Here we solve some numerical problems related to eigenstates.
Download Options
Choose a download method below. All links open in new tabs.
Service Features Action
SaveFrom
MP4 & MP3 • HD Quality • Browser Extension Available
Download
Security Notice: These are third-party services. We recommend using antivirus software and being cautious of pop-up ads.