External Source

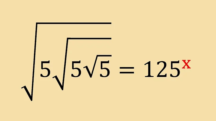
Find The Value Of X// A Nice Math Olympiad Problem

2024 9:36
Synopsis
Math Olympiad us math olympiad, international math olympiad, world youngest math olympiad, international math olympiad ...
Download Options
Choose a download method below. All links open in new tabs.
Service Features Action
SaveFrom
MP4 & MP3 • HD Quality • Browser Extension Available
Download
Security Notice: These are third-party services. We recommend using antivirus software and being cautious of pop-up ads.