External Source

Math Meets Art: The Beauty Of Roots Of Unity #maths #mathgenius #mathhelp #physics #mathematics #iq

2025 0:12
Synopsis
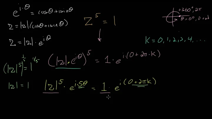
Discover the fascinating world of Roots of Unity in this easy-to-follow video! Learn how complex numbers form beautiful ...
Download Options
Choose a download method below. All links open in new tabs.
Service Features Action
SaveFrom
MP4 & MP3 • HD Quality • Browser Extension Available
Download
Security Notice: These are third-party services. We recommend using antivirus software and being cautious of pop-up ads.