External Source

How To Complete The Square Where The Coefficient Of X^2 Isn't 1

2025 2:41
Synopsis
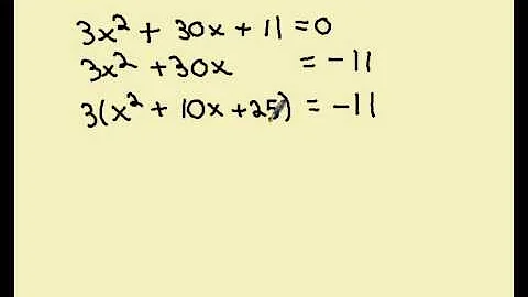
... and then we square this bracket we end up getting this to be very similar to this this is because if we expand x -
Download Options
Choose a download method below. All links open in new tabs.
Service Features Action
SaveFrom
MP4 & MP3 • HD Quality • Browser Extension Available
Download
Security Notice: These are third-party services. We recommend using antivirus software and being cautious of pop-up ads.