External Source

Introduction To Projections | Matrix Transformations | Linear Algebra | Khan Academy

2009 14:37
Synopsis
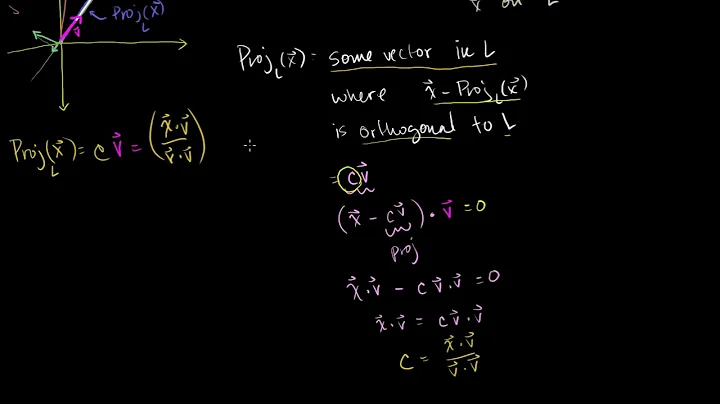
Determining the projection of a vector on s line Watch the next lesson: ...
Download Options
Choose a download method below. All links open in new tabs.
Service Features Action
SaveFrom
MP4 & MP3 • HD Quality • Browser Extension Available
Download
Security Notice: These are third-party services. We recommend using antivirus software and being cautious of pop-up ads.