External Source

How To Maximize The Volume Of A Rectangle In Calculus : Math Equations & More

2014 1:48
Synopsis
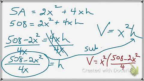
Subscribe Now: http://www.youtube.com/subscription_center?add_user=ehoweducation Watch More: ...
Download Options
Choose a download method below. All links open in new tabs.
Service Features Action
SaveFrom
MP4 & MP3 • HD Quality • Browser Extension Available
Download
Security Notice: These are third-party services. We recommend using antivirus software and being cautious of pop-up ads.