External Source

Solving An Natural Logarithmic Equation Using Properties Of Logs

2016 1:15
Synopsis
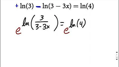
Learn how to solve natural logarithmic equations. Logarithmic equations are equations with logarithms in them. To solve a natural ...
Download Options
Choose a download method below. All links open in new tabs.
Service Features Action
SaveFrom
MP4 & MP3 • HD Quality • Browser Extension Available
Download
Security Notice: These are third-party services. We recommend using antivirus software and being cautious of pop-up ads.